Hallo Mitglieder,
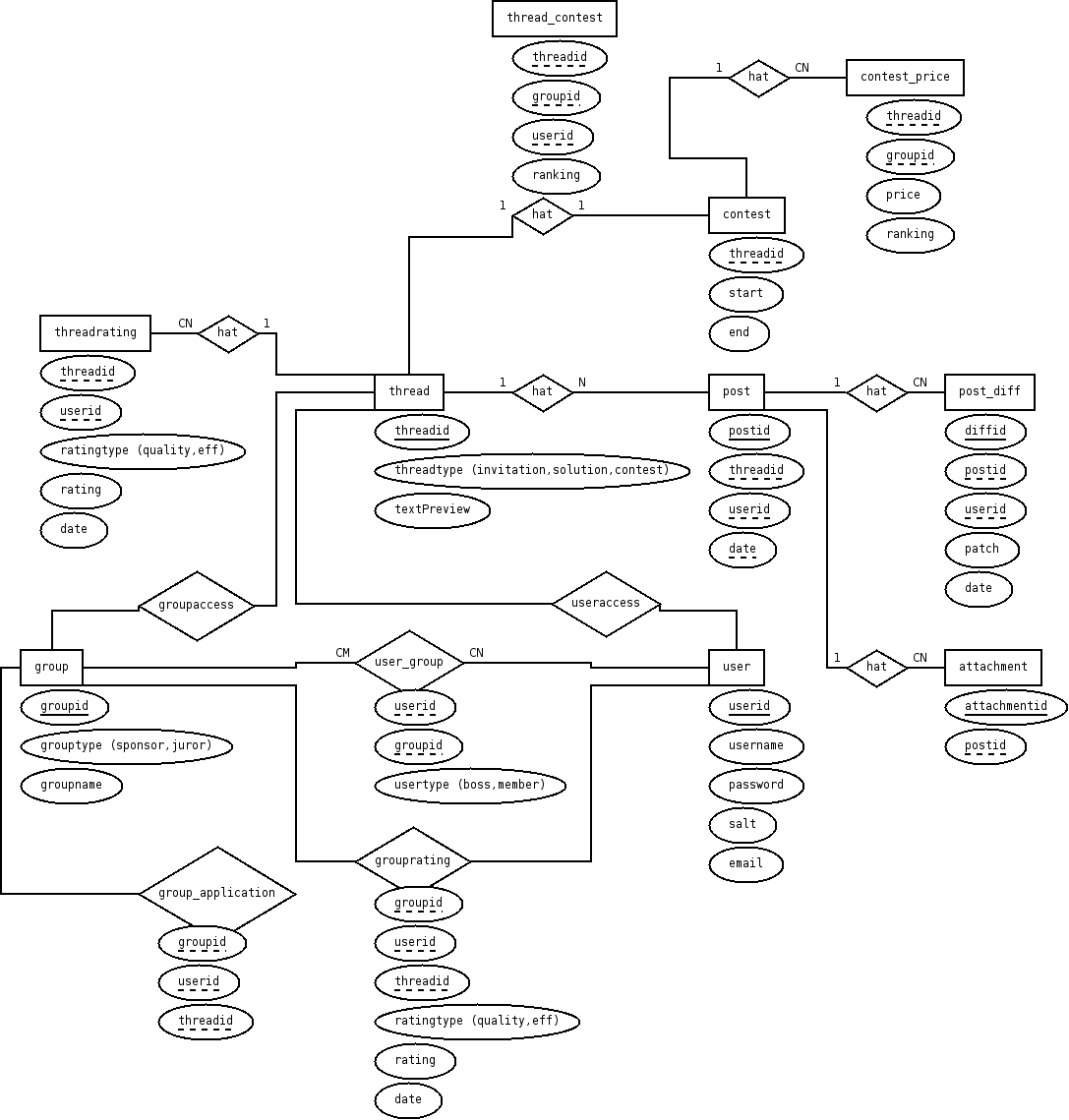
ich habe einen ersten Datenbankentwurf erstellt. Ich würde mich über Feedback freuen. Natürlich sind noch nicht alle Features abgedeckt und nicht alle Strichte sind fertig gezogen ;)
Für diejenigen die noch nicht in der Materie drinstecken, die sehen hier die Konzeption: trac.easy-coding.de/trac/contest/wiki/Konzeption
Es wird viel mit Rollen gearbeitet:
Gruppen können zum Beispiel Juroren, Sponsoren oder Teilnehmerteams sein.
Threads sind Contests, Einladungen für Juroren, Sponoren, etc.
Die einzelnen Beiträge sollen alle versioniert werden.
Was die Datenbank so alles abdeckt
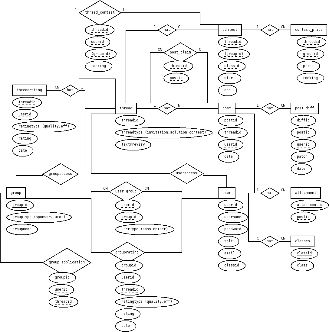
ich habe einen ersten Datenbankentwurf erstellt. Ich würde mich über Feedback freuen. Natürlich sind noch nicht alle Features abgedeckt und nicht alle Strichte sind fertig gezogen ;)
Für diejenigen die noch nicht in der Materie drinstecken, die sehen hier die Konzeption: trac.easy-coding.de/trac/contest/wiki/Konzeption
Es wird viel mit Rollen gearbeitet:
Gruppen können zum Beispiel Juroren, Sponsoren oder Teilnehmerteams sein.
Threads sind Contests, Einladungen für Juroren, Sponoren, etc.
Die einzelnen Beiträge sollen alle versioniert werden.
Was die Datenbank so alles abdeckt
- User können eine Aufgabe erstellen: post > thread(contest) > contest
- Sie können Juroren einladen: post > thread(invitation) > groupaccess
- Sie können einzelne Benutzer einladen: post > thread(invitation) > useraccess
- Juroren können privat diskutieren ob sie teilnehmen sollten: post > thread
- Und sie können Rücksprache mit dem dem Aufgabensteller halten: post > thread > useraccess
- Mitglieder können Lösungen einsenden: post > thread > thread_contest
- Mitglieder können den Contest nach unterschiedlichen Kriterien bewerten (threadrating)
- Juroren können die Lösungen nach unterschiedlichen Kriterien bewerten (threadrating)
- Nach dem Ende wird das Ranking gespeichert: post > thread > thread_contest(ranking)
- Lösungen können kommentiert werden: post > thread
- Benutzer können sich um Mitgliedschaft bewerben: group_application > thread
- Gruppenmitglieder können die Bewerbung diskutieren: thread > post
- Der Gruppenboss kann entscheiden user_group(usertype)
- Neue Gruppen können gegründet werden
- Neue Benutzer können angelegt werden
- Die Versionshistorie von Lösungen und Beiträgen können gespeichert werden: post_diff
- Anhänge können gespeichert werden: attachment
- Sponsoren können Preise hinzufügen: contest_price
- Wettbewerbe haben eine Start- und Endzeit
- Sponsoren können bewertet werden: grouprating
*daumen hoch*