Table Of Contents
Beispiel
easy-coding.de/Attachment/1199…2b985f24f7fa0dbdb1090a9d4Regel
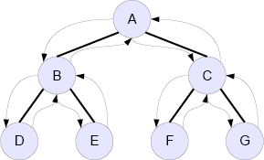
Diese Methode wird durch die folgende einfache rekursive Regel definiert: "Besuche die Wurzel, besuche dann den linken Unterbaum, besuche dann den rechten Unterbaum".Ergebnis
preOrder Implementierung: ABDECFG431,295 times viewed