easy-coding.de/Attachment/863/…8c5e843cd95a3a78825c0cbaf
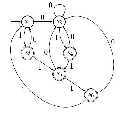
Wir betrachten folgende Überführungsfunktion und graphische Darstellung eines deterministischen endlichen Automaten.
Da es bei dem Verfahren um die Unterscheidbarkeit der Zustände geht und wir von vornherein wissen, dass Endzustände? von Nicht-Endzuständen unterscheidbar sind, habe ich die Endzustände bereits hervorgehoben.
Für das Verfahren brauchen wir eine Tabelle bei dem alle Zustände miteinander verglichen werden. Da wir bereits wissen, dass S1 und S2 von S3, S4, S5, S6 unterscheidbar sind, können wir dies sofort mit dem Marker X0 eintragen.
easy-coding.de/Attachment/864/…8c5e843cd95a3a78825c0cbaf
In welchem Durchgang die Zustände unterscheidbar wurden erkennt man am Index.
Dann betrachten wir die Ziele der Zustäde. Lässt sich hier sagen, dass der eine Zustand in einen Endzustand zeigt, der andere Zustand aber nicht? Unterscheiden lässt sich das nur bei S6.
easy-coding.de/Attachment/865/…8c5e843cd95a3a78825c0cbaf
easy-coding.de/Attachment/866/…8c5e843cd95a3a78825c0cbaf
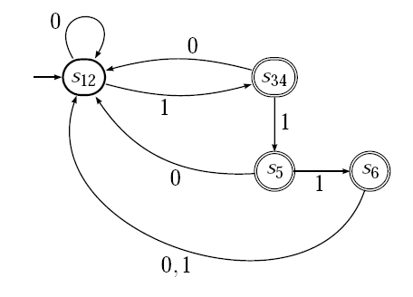
Der fertige Minimalautomat sieht dann so aus:
easy-coding.de/Attachment/867/…8c5e843cd95a3a78825c0cbaf
Wir betrachten folgende Überführungsfunktion und graphische Darstellung eines deterministischen endlichen Automaten.
Da es bei dem Verfahren um die Unterscheidbarkeit der Zustände geht und wir von vornherein wissen, dass Endzustände? von Nicht-Endzuständen unterscheidbar sind, habe ich die Endzustände bereits hervorgehoben.
Für das Verfahren brauchen wir eine Tabelle bei dem alle Zustände miteinander verglichen werden. Da wir bereits wissen, dass S1 und S2 von S3, S4, S5, S6 unterscheidbar sind, können wir dies sofort mit dem Marker X0 eintragen.
easy-coding.de/Attachment/864/…8c5e843cd95a3a78825c0cbaf
In welchem Durchgang die Zustände unterscheidbar wurden erkennt man am Index.
Dann betrachten wir die Ziele der Zustäde. Lässt sich hier sagen, dass der eine Zustand in einen Endzustand zeigt, der andere Zustand aber nicht? Unterscheiden lässt sich das nur bei S6.
easy-coding.de/Attachment/865/…8c5e843cd95a3a78825c0cbaf
easy-coding.de/Attachment/866/…8c5e843cd95a3a78825c0cbaf
Der fertige Minimalautomat sieht dann so aus:
easy-coding.de/Attachment/867/…8c5e843cd95a3a78825c0cbaf
148.793 mal gelesen